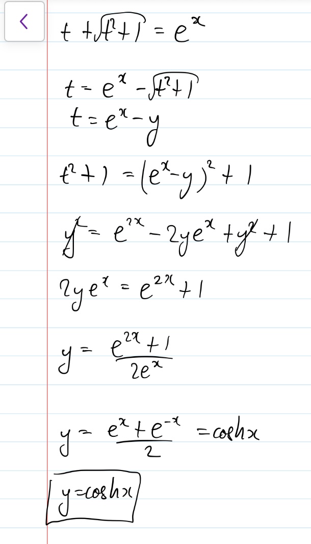
Download original image
IMG 1905
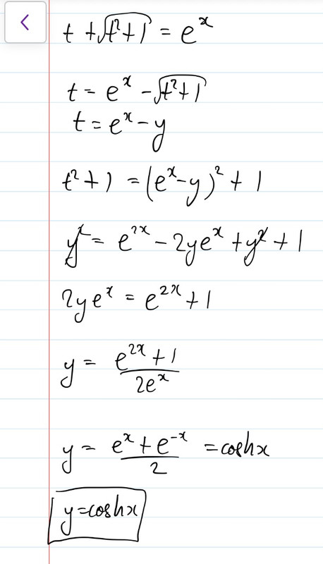
IMG 1905